-
Horizontale Kreiselpumpen Prinzip
- Horizontale Keiselpumpen JP-850
HORIZONTALE KREISELPUMPE JP-850
Horizontale Kreiselpumpen sind verwendbar für hohe Kapazitäten und längere Einsatzdauer.
Gehäuse aus Polypropylen oder PVDF geeignet für unterschiedlichste Medien.
Andere Materialien und Leistungen auf Anfrage.
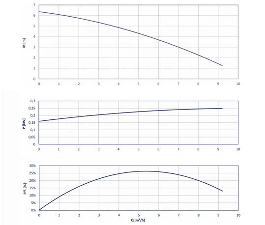
Die Kurven und Leistungswerte beziehen sich auf Pumpen mit freiem Auslauf für Wasser bei 20 °C und zweipoligem Motor 50 Hz. Die Daten können je nach den Materialien und hydraulischen Bedingungen variieren.
Horizontale Kreiselpumpe JP-850.80
| Saugseite Anschluss | 1½“ F BSPP |
| Druckseite Anschluss | 1″ M BSPP |
| Max. Förderleistung* | 6 m³/h |
| Max. Förderhöhe | 8 m |
| MMax. Viskosität | 100 mPas |
| Laufrad | Halboffen |
| Temperaturen PP: | -5 °C +65 °C |
| Temperaturen PVDF: | -20 °C +90 °C |
| Motor | 0,37 kW, 0,55 kW und 0,75 kW |
| Material: | PP und PVDF |
| L= 0,37 kW | M= 0,55 kW | H= 0,75 kW |
| Bis zu 1,2 | Bis zu 1,5 | Bis zu 1,9 |
| Baugrösse | kW | Bauform |
| IEC 71 | 0,37 | B3 + B5 |
| IEC 71 | 0,55 | B3 + B5 |
| IEC 71 | 0,75 | B3 + B5 |
| Gehäuse | O-Ring | GLRD | Anschlüsse | Versionen | Motor Version |
| P=PP K=PVDF | D=EPDM V=VITON | T1= SiC+C | 1=BSP STD 2=FLANSCH | L=GERINGE DICHTE M=MITTLERE DICHTE H=HOHE DICHTE | IE=3PH STD X=ATEX 1P=1PH -=NO MOTOR |
Die Kurven und Leistungswerte beziehen sich auf Pumpen mit freiem Auslauf für Wasser bei 20 °C und zweipoligem Motor 50 Hz. Die Daten können je nach den Materialien und hydraulischen Bedingungen variieren.
Horizontale Kreiselpumpe JP-850.100
| Saugseite Anschluss | 1½" F BSPP |
| Druckseite Anschluss | 1" M BSPP |
| Max. Förderleistung* | 10 m³/h |
| Max. Förderhöhe | 10 m |
| MMax. Viskosität | 150 mPas |
| Laufrad | Halboffen |
| Temperaturen PP: | -5 °C +65 °C |
| Temperaturen PVDF: | -20 °C +90 °C |
| Motor | 0,55 kW, 0,75 kW und 01,1 kW |
| Material: | PP und PVDF |
| L= 0,55 kW | M= 0,75 kW | H= 1,1 kW |
| Bis zu 1,2 | Bis zu 1,5 | Bis zu 1,9 |
| Baugrösse | kW | Bauform |
| IEC 71 | 0,55 | B3 + B5 |
| IEC 71 | 0,75 | B3 + B5 |
| IEC 80 | 1,1 | B3 + B5 |
| Gehäuse | O-Ring | GLRD | Anschlüsse | Versionen | Motor Version |
| P=PP K=PVDF | D=EPDM V=VITON | T1= SiC+C | 1=BSP STD 2=FLANSCH | L=GERINGE DICHTE M=MITTLERE DICHTE H=HOHE DICHTE | IE=3PH STD X=ATEX 1P=1PH -=NO MOTOR |
Die Kurven und Leistungswerte beziehen sich auf Pumpen mit freiem Auslauf für Wasser bei 20 °C und zweipoligem Motor 50 Hz. Die Daten können je nach den Materialien und hydraulischen Bedingungen variieren.
Horizontale Kreiselpumpe JP-850.105
| Saugseite Anschluss | 1½“ F BSPP |
| Druckseite Anschluss | 1″ M BSPP |
| Max. Förderleistung* | 15 m³/h |
| Max. Förderhöhe | 12 m |
| MMax. Viskosität | 200 mPas |
| Laufrad | Halboffen |
| Temperaturen PP: | -5 °C +65 °C |
| Temperaturen PVDF: | -20 °C +90 °C |
| Motor | 0,75 kW, 1,1 kW und 01,5 kW |
| Material: | PP und PVDF |
| L= 0,75 kW | M= 1,1 kW | H= 1,5 kW |
| Bis zu 1,2 | Bis zu 1,5 | Bis zu 1,9 |
| Baugrösse | kW | Bauform |
| IEC 80 | 0,75 | B3 + B5 |
| IEC 80 | 1,1 | B3 + B5 |
| IEC 80 | 1,5 | B3 + B5 |
| Gehäuse | O-Ring | GLRD | Anschlüsse | Versionen | Motor Version |
| P=PP K=PVDF | D=EPDM V=VITON | T1= SiC+C | 1=BSP STD 2=FLANSCH | L=GERINGE DICHTE M=MITTLERE DICHTE H=HOHE DICHTE | IE=3PH STD X=ATEX 1P=1PH -=NO MOTOR |
Die Kurven und Leistungswerte beziehen sich auf Pumpen mit freiem Auslauf für Wasser bei 20 °C und zweipoligem Motor 50 Hz. Die Daten können je nach den Materialien und hydraulischen Bedingungen variieren.
Horizontale Kreiselpumpe JP-850.110
| Saugseite Anschluss | 2" F BSPP |
| Druckseite Anschluss | 1½" M BSPP |
| Max. Förderleistung* | 20 m³/h |
| Max. Förderhöhe | 15 m |
| MMax. Viskosität | 300 mPas |
| Laufrad | Halboffen |
| Temperaturen PP: | -5 °C +65 °C |
| Temperaturen PVDF: | -20 °C +90 °C |
| Motor | 1,1 kW, 1,5 kW und 2,2 kW |
| Material: | PP und PVDF |
| L= 1,1 kW | M= 1,5 kW | H= 2,2 kW |
| Bis zu 1,2 | Bis zu 1,5 | Bis zu 1,9 |
| Baugrösse | kW | Bauform |
| IEC 80 | 1,1 | B3 + B5 |
| IEC 90 | 1,5 | B3 + B5 |
| IEC 90 | 2,2 | B3 + B5 |
| Gehäuse | O-Ring | GLRD | Anschlüsse | Versionen | Motor Version |
| P=PP K=PVDF | D=EPDM V=VITON | T1= SiC+C | 1=BSP STD 2=FLANSCH | L=GERINGE DICHTE M=MITTLERE DICHTE H=HOHE DICHTE | IE=3PH STD X=ATEX 1P=1PH -=NO MOTOR |
Die Kurven und Leistungswerte beziehen sich auf Pumpen mit freiem Auslauf für Wasser bei 20 °C und zweipoligem Motor 50 Hz. Die Daten können je nach den Materialien und hydraulischen Bedingungen variieren.
Horizontale Keiselpumpe JP-850.120
| Saugseite Anschluss | 2″ F BSPP |
| Druckseite Anschluss | 1½“ M BSPP |
| Max. Förderleistung* | 25 m³/h |
| Max. Förderhöhe | 16 m |
| MMax. Viskosität | 400 mPas |
| Laufrad | Halboffen |
| Temperaturen PP: | -5 °C +65 °C |
| Temperaturen PVDF: | -20 °C +90 °C |
| Motor | 1,5 kW, 2,2 kW und 3 kW |
| Material: | PP und PVDF |
| L= 1,5 kW | M= 2,2 kW | H= 3 kW |
| Bis zu 1,2 | Bis zu 1,5 | Bis zu 1,9 |
| Baugrösse | kW | Bauform |
| IEC 90 | 1,5 | B3 + B5 |
| IEC 90 | 2,2 | B3 + B5 |
| IEC 100 | 3 | B3 + B5 |
| Gehäuse | O-Ring | GLRD | Anschlüsse | Versionen | Motor Version |
| P=PP K=PVDF | D=EPDM V=VITON | T1= SiC+C | 1=BSP STD 2=FLANSCH | L=GERINGE DICHTE M=MITTLERE DICHTE H=HOHE DICHTE | IE=3PH STD X=ATEX 1P=1PH -=NO MOTOR |
Die Kurven und Leistungswerte beziehen sich auf Pumpen mit freiem Auslauf für Wasser bei 20 °C und zweipoligem Motor 50 Hz. Die Daten können je nach den Materialien und hydraulischen Bedingungen variieren.
Horizontale Kreiselpumpe JP-850.130
| Saugseite Anschluss | 2″ F BSPP |
| Druckseite Anschluss | 1½“ M BSPP |
| Max. Förderleistung* | 30 m³/h |
| Max. Förderhöhe | 20 m |
| MMax. Viskosität | 500 mPas |
| Laufrad | Halboffen |
| Temperaturen PP: | -5 °C +65 °C |
| Temperaturen PVDF: | -20 °C +90 °C |
| Motor | 2,2 kW, 3 kW und 4 kW |
| Material: | PP und PVDF |
| L= 2,2 kW | M= 3 kW | H= 4 kW |
| Bis zu 1,2 | Bis zu 1,5 | Bis zu 1,9 |
| Baugrösse | kW | Bauform |
| IEC 90 | 2,2 | B3 + B5 |
| IEC 100 | 3 | B3 + B5 |
| IEC 112 | 4 | B3 + B5 |
| Gehäuse | O-Ring | GLRD | Anschlüsse | Versionen | Motor Version |
| P=PP K=PVDF | D=EPDM V=VITON | T1= SiC+C | 1=BSP STD 2=FLANSCH | L=GERINGE DICHTE M=MITTLERE DICHTE H=HOHE DICHTE | IE=3PH STD X=ATEX 1P=1PH -=NO MOTOR |
Die Kurven und Leistungswerte beziehen sich auf Pumpen mit freiem Auslauf für Wasser bei 20 °C und zweipoligem Motor 50 Hz. Die Daten können je nach den Materialien und hydraulischen Bedingungen variieren.
Horizontale Kreiselpumpe JP-850.140
| Saugseite Anschluss | 2" F BSPP |
| Druckseite Anschluss | 1½" M BSPP |
| Max. Förderleistung* | 40 m³/h |
| Max. Förderhöhe | 25 m |
| MMax. Viskosität | 500 mPas |
| Laufrad | Halboffen |
| Temperaturen PP: | -5 °C +65 °C |
| Temperaturen PVDF: | -20 °C +90 °C |
| Motor | 3 kW, 4 kW und 5,5 kW |
| Material: | PP und PVDF |
| L= 3 kW | M= 4 kW | H= 5,5 kW |
| Bis zu 1,2 | Bis zu 1,5 | Bis zu 1,9 |
| Baugrösse | kW | Bauform |
| IEC 100 | 3 | B3 + B5 |
| IEC 112 | 4 | B3 + B5 |
| IEC 112 | 5,5 | B3 + B5 |
| Gehäuse | O-Ring | GLRD | Anschlüsse | Versionen | Motor Version |
| P=PP K=PVDF | D=EPDM V=VITON | T1= SiC+C | 1=BSP STD 2=FLANSCH | L=GERINGE DICHTE M=MITTLERE DICHTE H=HOHE DICHTE | IE=3PH STD X=ATEX 1P=1PH -=NO MOTOR |
Die Kurven und Leistungswerte beziehen sich auf Pumpen mit freiem Auslauf für Wasser bei 20 °C und zweipoligem Motor 50 Hz. Die Daten können je nach den Materialien und hydraulischen Bedingungen variieren.
Horizontale Kreiselpumpe JP-850.145
| Saugseite Anschluss | 2½" F BSPP |
| Druckseite Anschluss | 2" M BSPP |
| Max. Förderleistung | 60 m³/h |
| Max. Förderhöhe | 26 m |
| BEP-Durchflussmenge | 35 m³/h |
| BEP-Ausgabekopf | 21 m |
| Max. Viskosität | 500 mPas |
| Laufrad | Halboffen |
| Temperaturen PP: | -5 °C +65 °C |
| Temperaturen PVDF: | -20 °C +95 °C |
| Motor | 3 kW, 4 kW, 5,5 kW, 7,5 kW, 11 kW,15 kW und 18,5 kW |
| Material: | PP und PVDF |
| N° Polen | 2 |
| RPM | 2900 |
| Frequenz | 50 Hz |
| Voltage | 230/400 V |
| Schutz | IP 55 |
| Flanges |
IEC |
| Design |
B5 + B5 |
| Gehäuse | O-ring | GLRD | Anschlüsse | Frame size | Motor Version |
| P=PP K=PVDF | D=EPDM V=VITON | T1=SIC + C | 1=BSP STD 2=FLANGED 5=NPT | 100 112 132 160 | IE=IEC FLANGE – = Ohne motor |
Die Kurven und Leistungswerte beziehen sich auf Pumpen mit freiem Auslauf für Wasser bei 20 °C und zweipoligem Motor 50 Hz. Die Daten können je nach den Materialien und hydraulischen Bedingungen variieren.
Horizontale Kreiselpumpe JP-850.150
| Saugseite Anschluss | 2½" F BSPP |
| Druckseite Anschluss | 2" M BSPP |
| Max. Förderleistung | 64 m³/h |
| Max. Förderhöhe | 30,5 m |
| BEP-Durchflussmenge | 38 m³/h |
| BEP-Ausgabekopf | 26 m |
| Max. Viskosität | 600 mPas |
| Laufrad | Halboffen |
| Temperaturen PP: | -5 °C +65 °C |
| Temperaturen PVDF: | -20 °C +95 °C |
| Motor | 3 kW, 4 kW, 5,5 kW, 7,5 kW, 11 kW,15 kW und 18,5 kW |
| Material: | PP und PVDF |
| N° Polen | 2 |
| RPM | 2900 |
| Frequenz | 50 Hz |
| Voltage | 230/400 V |
| Schutz | IP 55 |
| Flanges |
IEC |
| Design |
B5 + B5 |
| Gehäuse | O-ring | GLRD | Anschlüsse | Frame size | Motor Version |
| P=PP K=PVDF |
D=EPDM V=VITON |
T1=SIC + C |
1=BSP STD 2=FLANGED 5=NPT |
100 112 132 160 |
IE=IEC FLANSCH – =OHNE MOTOR |
Die Kurven und Leistungswerte beziehen sich auf Pumpen mit freiem Auslauf für Wasser bei 20 °C und zweipoligem Motor 50 Hz. Die Daten können je nach den Materialien und hydraulischen Bedingungen variieren.
Horizontale Kreiselpumpe JP-850.160
| Saugseite Anschluss | 2½" F BSPP |
| Druckseite Anschluss | 2" M BSPP |
| Max. Förderleistung | 68,5 m³/h |
| Max. Förderhöhe | 35 m |
| BEP-Durchflussmenge | 40,5 m³/h |
| BEP-Ausgabekopf | 29,5 m |
| Max. Viskosität | 700 mPas |
| Laufrad | Halboffen |
| Temperaturen PP: | -5 °C +65 °C |
| Temperaturen PVDF: | -20 °C +95 °C |
| Motor | 3 kW, 4 kW, 5,5 kW, 7,5 kW, 11 kW,15 kW und 18,5 kW |
| Material: | PP und PVDF |
| N° Polen | 2 |
| RPM | 2900 |
| Frequenz | 50 Hz |
| Voltage | 230/400 V |
| Schutz | IP 55 |
| Flanges |
IEC |
| Design |
B5 + B5 |
| Gehäuse | O-ring | GLRD | Anschlüsse | Frame size | Motor Version |
| P=PP K=PVDF |
D=EPDM V=VITON |
T1=SIC + C |
1=BSP STD 2=FLANGED 5=NPT |
100 112 132 160 |
IE=IEC FLANGE – =Ohne motor |
Die Kurven und Leistungswerte beziehen sich auf Pumpen mit freiem Auslauf für Wasser bei 20 °C und zweipoligem Motor 50 Hz. Die Daten können je nach den Materialien und hydraulischen Bedingungen variieren.
Horizontale Kreiselpumpe JP-850.170
| Saugseite Anschluss | 2½" F BSPP |
| Druckseite Anschluss | 2" M BSPP |
| Max. Förderleistung | 73 m³/h |
| Max. Förderhöhe | 40 m |
| BEP-Durchflussmenge | 43 m³/h |
| BEP-Ausgabekopf | 34 m |
| Max. Viskosität | 800 mPas |
| Laufrad | Halboffen |
| Temperaturen PP: | -5 °C +65 °C |
| Temperaturen PVDF: | -20 °C +95 °C |
| Motor | 3 kW, 4 kW, 5,5 kW, 7,5 kW, 11 kW,15 kW und 18,5 kW |
| Material: | PP und PVDF |
| N° Polen | 2 |
| RPM | 2900 |
| Frequenz | 50 Hz |
| Voltage | 230/400 V |
| Schutz | IP 55 |
| Flanges |
IEC |
| Design |
B5 + B5 |
| Gehäuse | O-ring | GLRD | Anschlüsse | Frame size | Motor Version |
| P=PP K=PVDF |
D=EPDM V=VITON |
T1=SIC + C |
1=BSP STD 2=FLANGED 5=NPT |
100 112 132 160 |
IE=IEC FLANGE – =Ohne motor |
Die Kurven und Leistungswerte beziehen sich auf Pumpen mit freiem Auslauf für Wasser bei 20 °C und zweipoligem Motor 50 Hz. Die Daten können je nach den Materialien und hydraulischen Bedingungen variieren.
Horizontale Kreiselpumpe JP-850.180
| Saugseite Anschluss | 2½" F BSPP |
| Druckseite Anschluss | 2" M BSPP |
| Max. Förderleistung | 78 m³/h |
| Max. Förderhöhe | 45 m |
| BEP-Durchflussmenge | 50 m³/h |
| BEP-Ausgabekopf | 37 m |
| Max. Viskosität | 800 mPas |
| Laufrad | Halboffen |
| Temperaturen PP: | -5 °C +65 °C |
| Temperaturen PVDF: | -20 °C +95 °C |
| Motor | 3 kW, 4 kW, 5,5 kW, 7,5 kW, 11 kW,15 kW und 18,5 kW |
| Material: | PP und PVDF |
| N° Polen | 2 |
| RPM | 2900 |
| Frequenz | 50 Hz |
| Voltage | 230/400 V |
| Schutz | IP 55 |
| Flanges |
IEC |
| Design |
B5 + B5 |
| Gehäuse | O-ring | GLRD | Anschlüsse | Frame size | Motor Version |
| P=PP K=PVDF |
D=EPDM V=VITON |
T1=SIC + C |
1=BSP STD 2=FLANGED 5=NPT |
100 112 132 160 |
IE=IEC FLANGE – =Ohne motor |


